|
A ray is:
*NOTE: In mathematics we call any point that
identifies where the line stops at, as an endpoint. YES I KNOW WHAT THIS SOUNDS LIKE.... |
![]() |
|
Problem:: What are the names of the ray(s), if any, that are on the following line? ![]() |
Solution: Since this line has 3-different points on it we will have 4-different rays that will be on the line. If we use point A as our starting point we will have the following ray: ![]() Since it goes through 2-other points on the line we can have 2-different names for the same ray. If we use point B as our starting point and we will have 2-different rays, going in opposite directions: ![]() ![]() If we use point C as our starting point we will have the following ray: ![]() Since it goes through 2-other points on the line we can have 2-different names for the same ray |
Watch the video: |
|
A line segment is:
|
![]() |
|
Problem:: What are the names of the line segment(s), if any, that are on the following line? ![]() |
Solution: Since this line has 3-different points on it we will have 3-different line segments that will be on the line as follows: ![]() ![]() ![]() |
Watch the video: |
|
Quick Question... Instructions:
To use the app:
|
|
The Ruler Postulate states:
|
Distance = Note: Distance is always positive, so absolute values is used to calculate distance |
We can use The Ruler Postulate to:
|
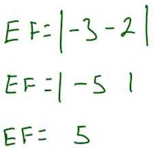
Problem:: What is the distance between AB? What is the distance between CD? What is the distance between EF? ![]() |
Solution: Since A is at 3 and B is at 8 we get the following: ![]() So the distance from A to B is 5. Since C is at -7 and B is at -4 we get the following: ![]() So the distance from C to D is 3. Since E is at -3 and B is at -2 we get the following: ![]() So the distance from E to F is 5. |
Watch the video: |
|
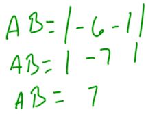
Problem:: Given the following, how far is it from A to C? ![]() |
Solution: First we need to find the distance for AB. ![]() Then we need to find the distance for BC. ![]() Now that we know the distance for AB and BC we can add them together to find the distance of AC. ![]() If we check our work by find the distance from A to C we get: ![]() Which checks. |
Watch the video: |
Now the last example seems a bit silly to do the way we did it. It would have been a lot quicker and easier to just find the distance from A to C to begin with.
However it is not always that simple to find the distance between two points as we will see in the next example.
|
Problem:: |
Solution: The first thing we need to do is draw out problem we were given. Make sure that we include all of the information given to us. ![]() Now that we have the problem drawn out, we can see that the missing piece, ST is missing and that we will need to subtract RS from RT to find ST. ![]() Now we know that ST = 19 |
Watch the video: |
|
Point S lies on | ||
|
Quick Question... Instructions:
To use the app:
|
|
Problem:: Can you find AC in terms of x, given that B is the midpoint and AB = 2x - 7? |
Solution: Again, the first thing we need to do is draw out problem we were given. Make sure that we include all of the information given to us. ![]() Since we were given the information that B was a midpoint we know that the distance between A and B will be the same as from B to C. So we will write in 2x - 7 as the distance for BC. We can now see that we will need to add AB and BC together as follows: ![]() So we now know the distance of AC in terms of x will be 4x - 14. |
Watch the video: |
|
Quick Question... Instructions:
To use the app:
|
Remember to show all work required to do the problem.
a. Find the distance between the points A and B.

b. Find AC in terms of x.

c. The drive from Newfolden to Lancaster is about 46 miles.
Karlstad is approximately the midpoint between Newfolden and Lancaster,
about how far is the midpoint from either city?
Use the following graph to answer 1-3.

1. Find PQ.
2. Find NS.
3. Find MR.
Use the following graph to answer 4-9

4. AB =
5. BD =
6. DE =
7. DC =
8. FD =
9. AF =
10. Find LN in terms of x.

11. Point G lies on
between
F and H. Find GH if FG = 15 and FH = 34.
12. Point N lies on
between
L and M. Find MN if LN = 2 and LM = 14.
13. Find WY in terms of n.

14. Point D lies
on
between
C and F. Find CD if DF = 2 and CF = 45.
15. Find the midpoint of the segment connecting points with coordinates -142
and
53 on a number line.
16. A, B, and C are collinear, AB = 5x - 19, and BC = 3x + 4. Find an
expression for AC if B is between A and C.
17. Points A, B, and C are collinear. Point B is between points A and C. AB =
12,
AC = 7x + 5 and BC = 4x - 1. Find x.
18. Points D, E, and F are collinear with E between D and F. DE = 15,
EF = x + 17, and DF = 3x - 10. Find EF and DF
19. Suppose AB = 3x, BC = 2y + 16, AC = 60, and B is the midpoint of
AC.
Find the values of x and y.
20. The city is planning to install streetlights and wants five lights along
a walkway
of 60 yards. If there is a
light at the beginning and at the end of the walkway
and the lights are evenly spaced, what is the distance between each light?