We have seen that angles are formed by the intersection of lines, rays, or segments, Now we need to understand the relations between the angles formed by these intersections.
Two angles are complementary angles if their combined measures total 90°.
|
Problem: Given the following figures, identify any and all complimentary angles
|
Solution: . When we look at the figures we see that ![]() ![]() Now that we know We also see that we have another angle |
Watch the video: |
Two angles are supplementary angles if their combined measures total 180°.
|
Problem Given the following figures, identify any and all supplementary angles
|
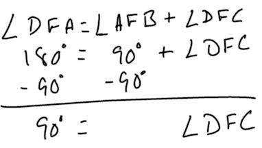
Solution: . From the last example we found that ![]() Now we need to know what the measures of ![]() ![]() ![]() So we now have: ![]() There are even more angle that we need to find before we answer the question, and they are ![]() ![]() So now we have identified all of the angles in the figure. ![]() Now that we know all of the angles we can identify the pairs of angle that are supplementary, add up to 180o. The supplementary angles that are next to each other are: The supplementary angles that are NOT next to each other are: So, in these figures there are 8 different pairs of supplementary angles. |
Watch the video: |
Adjacent angles have the same vertex and share a common side
|
Problem: Given the following figure, identify any and all adjacent angles ![]() |
Solution: All we need to do is identify the pair of angles that have a common side. Here we have ![]() Here we have ![]() Here we have ![]() Here we have ![]() Also, we have ![]() And we have ![]() |
Watch the video: |
A linear pair is formed by two adjacent angles whose non-common sides are opposite rays. The sum of the measures of a linear pair is 180°.
|
Problem: Given the following figure, identify any and linear pairs ![]() |
Solution: Linear pairs are similar to supplementary angles, except that they need to be adjacent angle as well. Here we have ![]() Here we have ![]() Here we have ![]() Here we have ![]() Here we have ![]() Here we have ![]() |
Watch the video: |
Vertical angles are nonadjacent angles formed by two intersecting lines whose angle measures are equal.
|
Problem: Given the following figure, identify any and vertical angles. ![]() |
Solution: To find vertical angles we need to find angles that are opposite of each other. Here we have ![]() Here we have ![]() |
Watch the video: |
|
Instructions:
To use the app:
|
Use the following figure to answer the practice problems.
Unless otherwise
stated, figures that appear to have lines are lines.

A. Identify any and all complimentary angles with their angle measures.
B Identify any and all supplementary angles with their angle measures.
C. Identify any and all adjacent angles
D. Identify any and all linear pairs with their angle measures.
E. Identify any and all vertical angles with their angle measures.
Find the measure of each of the following angles.
Unless otherwise stated,
figures that appear to have lines are lines.
| 1. Complement of
2. Supplement of |
![]() |
| 3. Complement of
4. Supplement of |
![]() |
| Tell whether the pair of angles are adjacent
angles, form a linear pair, or are vertical angles. 5. 6. 7. 8. |
![]() |
| Find the measure of each of the following angles. 9. 10. 11. 12. |
![]() |
13. 14. 15. 16. |
![]() |
| Given the figure on the right: 17. Solve for X. Find the measure of each of the following angles. 18. 19. |
![]() |
| Given the figure on the right: 20. Solve for X. 21. Solve for Y Find the measure of each of the following angles. 22. 23. 24. 25. |
![]() |