Pythagorean Theorem: |
![]() |
|
In any Right Triangle with vertices
A,
B, &
C the following will
be true: |
|
|
|
|
|
|
Question: Why is everything squared? |
One Possible
Solution: Note: Do not label any points Step: 1. Create a Square ( Regular Polygon ) 2. On the Left Side of this Square, create a line through the 2-points on the left side. 3. Create a Point on this line above the Square 4. Create a Square using the top left point of the Square and the point made in Step 3 5. Create a Square using bottom left corner of each Square 6. Use the Area tool to find the area of each Square 7. Add the area of the 2-smaller squares together, and you will find that they total up to the area of the large square ( within an acceptable error for rounding. ) The 3-squares create a Right Triangle and the sides of the triangle make up a side on a square and the area of a square is found by multiplying 2-sides of a square together or a Side-Squared. Press Watch the video for this example: |
|
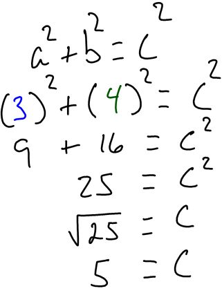
Problem: Given ΔABC where
|
Answer:![]() So now we know that the length of the hypotenuse is 5. |
Watch the video: |
|
Quick Question... To use the app:
Instructions:
|
|
Problem: Given ΔABC where
![]() |
Answer:![]() So now we know that the length of side b is 4. |
Watch the video: |
|
Quick Question... To use the app:
Instructions:
|
As long as a, b, & c form a triangle, we get this...
Pythagorean Inequality Theorem:In ΔABC where sides a and b are the two shorter sides and side c is the longest side.
|
|
Question: Use Geogbra to verify your calculations for each triangle
Answer: If we try to make a triangle with these dimension we get... ...an Obtuse triangle ![]() ![]() If we try to make a triangle with these dimension we get... ...an Acute triangle ![]() ![]() |
Watch the video: |
|
Now let's try that with a triangle made with 3-squares... |
Note: Do not label any points Step: 1. Create a Square ( Regular Polygon ) 2. Create a Square using the top right point of the Square and the point made in Step 1 3. Create a Square using bottom right corner of each Square 4. Use the Area tool to find the area of each Square 5. Adjust the position of the squares to make an obtuse triangle bordered by the 3-squares. 6. Repeat steps 1-4 and then Adjust the position of the squares to make an acute triangle bordered by the 3-squares. Now use Geogebra ot verify the Pythagorean Inequality Theorem. Press |
Pythagorean Triples:A Pythagorean triple is a set of three nonzero whole numbers
a, b, and c Two of the most well-known sets of Pythagorean triples are (3, 4, 5) and (5, 12, 13). An easy way to find Pythagorean triples is to multiply one of these two sets by a whole number. For example, multiplying the first set by 2 yields (6, 8, 10), which is also a Pythagorean triple. |
16 Primitive Pythagorean Triples : ( not multiples of another Pythagorean Triple ) (3, 4, 5) (5, 12, 13) (8, 15, 17) (7, 24, 25) (20, 21, 29) (12, 35, 37) (9, 40, 41) (28, 45, 53) (11, 60, 61) (16, 63, 65) (33, 56, 65) (48, 55, 73) (13, 84, 85) (36, 77, 85) (39, 80, 89) (65, 72, 97) |
A. Given ΔABC where Find the length of "c" the hypotenuse rounded to the nearest tenth. |
|
| B. Given ΔABC where
Find the length of side "b" rounded to the nearest tenth. |
|
| C. Given ΔABC where
Find the length of side "b" rounded to the nearest tenth. |
|
| D. Given ΔABC where
a = 4, b = 6, & c = 11, is this triangle Acute, Obtuse, or Right? |
|
| E. Given ΔABC where
a = 6, b = 6, & c = 7, is this triangle Acute, Obtuse, or Right? |
|
| F. Identify one Pythagorean Triple that is not listed in the lesson. | |
Assignment:Instructions:
|
|
Pythagorean Theorem:To use the app:
Instructions:
|
Problems 1 - 6,
Find the Hypotenuse, use:

Problems 7 - 12,
Find Leg A, use:

Problems 13 - 18,
Find Leg B, use:

Problems 19 - 24,
Find the Missing Side, use:
