4.3  Circles & Lines

 

Circles & Lines:

There are really only 2 different ways that a line can interact with a circle.  It can either intersect ( touch ) it in one place, this is called a Tangent.  The other possibility is for a line to intersect ( go through ) a circle in two places, this is called a Secant.

Properties of a Tangent Line:

Tangent Line:

  • A tangent line will intersect ( touch ) the circle in one place..
        
  • A tangent line will always be perpendicular to the radius with an end point at the intersection of the line and circle
        

Properties of a Secant Line:

Secant Line:

  • A Secant line will intersect ( go through ) a circle in two places,
      

        
  • The two points formed when the line and circle intersect, create a chord.

 

Arc & Angle Measures of Secant & Tangent Lines:

The measure of an angle whose vertex is outside of a circle is equal to half the difference of the intercepted arcs.

  • So if you had two secants intersecting a circle, we could write:
      

        
  • So if you had a secant & tangent intersecting a circle, we could write:
      

        
  • So if you had a two tangent intersecting a circle, we could write:
     

 

Example A

Task:

Use Geogebra to create A, with Tangent Line BC & Secant Line CD


 

Solution:

Step:
1.  Plot Point A & Point B
2.  Create Circle: Center A through Point B
3.  Create Tangent Line through Point B
      - Select the Tangents tool ( 4th tool icon )
      - Click on Point B then click on the circle
4.  Create Point C, anywhere on the Tangent Line.
5.  Create Point D, anywhere on the circle
6.  Create Line CD, this is a Secant Line
7.  Create radius AB
8.  Identify mABC

    
     


You now have A, with Tangent Line BC & Secant Line CD

Press or to run the Geogebra build simulation.








     Watch the video:

 

 

Example B

Problem:

Use the following figure to find mEFG = ?,  if = 35° &  if = 135°



                



Watch the video:
Solution:
         

 

 

Quick Question...

Instructions:

  • Use the given "keypad" to enter your answer
  • Click on the "Stopwatch" for a 30 second timer
  • Use the slider to select the numbers of questions

To use the app:

  • Clickto begin, click for full screen mode
  • Clickto check your answer.
  • Clickto goto the next problem
  • Clickto stop the app

 

Example C

Problem:

Use the following figure to find = , if the mBLK = 86° &  if = 266°

 

                     



Watch the video:
Solution:
    
 
 

 

Quick Question...

Instructions:

  • Use the given "keypad" to enter your answer
  • Click on the "Stopwatch" for a 30 second timer
  • Use the slider to select the numbers of questions

To use the app:

  • Clickto begin, click for full screen mode
  • Clickto check your answer.
  • Clickto goto the next problem
  • Clickto stop the app

 

Example D

Problem:

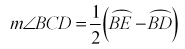
Use the following figure to find = , if the mBCD = 18° &  if = 19°

 

                     



Watch the video:
Solution:

    
 

 

Quick Question...

Instructions:

  • Use the given "keypad" to enter your answer
  • Click on the "Stopwatch" for a 30 second timer
  • Use the slider to select the numbers of questions

To use the app:

  • Clickto begin, click for full screen mode
  • Clickto check your answer.
  • Clickto goto the next problem
  • Clickto stop the app

 

 

Practice Problems

Use the figure on the right to answer the following questions:

If mBAG = 103°, = 52°, = 157°, = 79°
  
  
A  What is the degree measure of = ?
  
  
B. What is the degree measure of= ?
  
  
C.  What is the degree measure of  mBKG = ?
  
   
D. What is the degree measure of  mBCE = ?
  
  
E. What is the degree measure of  mDFH= ?
  
  
  
  
  
  


        
 

 

Assignment:

Use the figure on the right to answer the following questions:

If mBAG = 80°, = 92°, = 207°, = 179°



1. What is the degree measure of = ?
  
2.  What is the degree measure of = ?
    
3.  What is the degree measure of  mBKG = ?
    
4.  What is the degree measure of  mBCE = ?
    
5.  What is the degree measure of  mDFH= ?
 
 
 
Use the figure on the right to answer the following questions:

If mBCE = 17°,= 176°, = 88°, = 160°
  

6.  What is the degree measure of = ?
     
7.  What is the mBAG = ?
  
8.  What is the mBKG = ?
  
9.   What is the mHFD = ?
 
 
 
  
Use the figure on the right to answer the following questions:

If mBAE = 85°, mGAE = 22°, mGAH = 78°,
   
   mHAK = 76° , mKAD = 53°,
  

10.  What is the mBAD = ?
  
11.  What is the mBCD = ?
  
12.  What is the mBLK = ?
  
13.  What is the mEFG = ?
 

14.  Use Geogebra to construct the following

15.  What quadrilateral do the points ABDC form?

16.  If you move point C on the circle so that you have diameter CB,
       what happens to point D & why do you believe that happens?